发表时间:9/4/2019 1:10:32 PM
各国不锈钢阀门的执行标准,赶快来收藏吧!
不锈钢阀门各国的执行标准:304不锈钢阀门国标0Cr18Ni9,国标0Cr18Ni9作为一种用途广泛的不锈钢阀门,具有良好的耐蚀性、耐热性,低温强度和机械性能;冲压、弯曲等热加工性好,无热处理硬化现象(无磁性,使用温度-196℃~800℃)。
321不锈钢阀门相当于国产1Cr17Ni9Ti,321不锈钢阀门其性能与304非常相似,但是由于加入了金属钛,使其具有了更好的耐晶界腐蚀性及高温强度。由于添加金属钛,使其有效的控制了碳化铬的形成。321不锈钢阀门具有的优异的高温应力破断(Stress Rupture)性能及高温抗潜变性能(Creep Resistance)应力机械性能都优于304不锈钢阀门。321不锈钢阀门应用于抗晶界腐蚀性要求高的化学、煤炭、石油产业的野外露天耐热管道及热处理有困难管路上。
316不锈钢阀门国标0Cr17Ni12Mo2 国标0Cr17Ni12Mo2,因添加Mo,故其耐蚀性,耐大气腐蚀性和高温强度特别好,可在苛刻的条件下使用;加工硬化性优(无磁性). 316不锈钢阀门应用在:海水、化工、染料、造纸、草酸、肥料等生产设备;
316L不锈钢阀门国标00Cr17Ni14Mo2 国标00Cr17Ni14Mo2,作为316L不锈钢阀门除与316不锈钢阀门的有相同的特性外,其抗晶界腐蚀性优于316;另外增加了钼元素,可以显著提高其耐晶间腐蚀、氧化物应力腐蚀的能力,以及减少焊接时的热裂倾向性.还有良好的耐氯化物腐蚀的性能. 316L不锈钢阀门应用在:常用于纯水、蒸馏水、药品、酱、醋等卫生要求高、介质腐蚀性能强的场合,316不锈钢阀门的特别用途中对抗晶界腐蚀有特别要求的产品。
310S不锈钢阀门是美国对不锈钢阀门的一种标法,在国内的标号是(2520)0Cr25Ni20,是一种奥氏体不锈钢阀门,310S中的S是指该不锈钢阀门的特殊用途。 0Cr25Ni20(310S) 特性 --高温耐氧化性,高温强度。用途 --排气管Bellows,微波炉Heater,Tube,高温炉胆,火化炉等要求耐热性的不锈钢阀门。
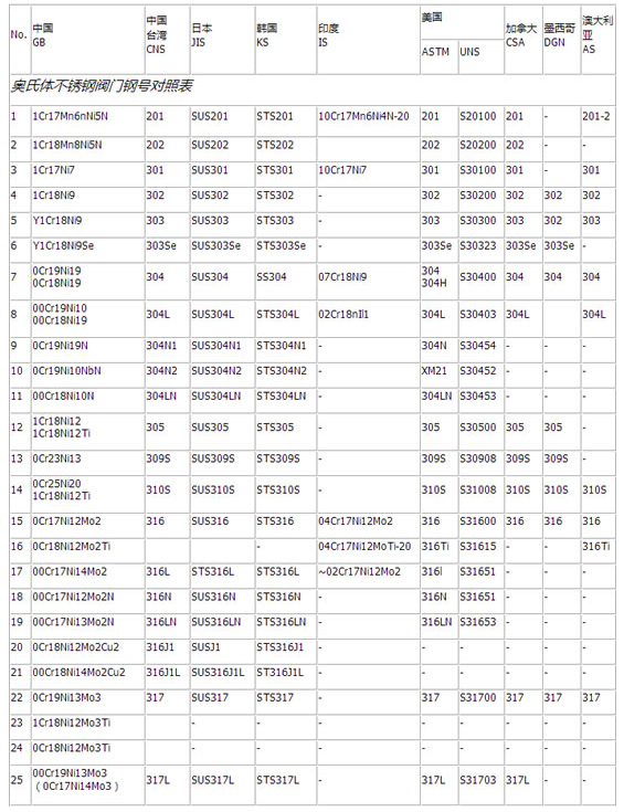
中国与亚洲、北美诸国(地区)及澳大利亚的不锈钢阀门钢号执行标准对照

平时最常看到的304、316不锈钢阀门即为此类,304标准成分是18%铬加8%镍,即一般所称的18-8不锈钢阀门。此类不锈钢阀门的特性为无磁性、无法藉由热处理方法来改变其金相组织结构、加工性佳,又因含合金元素--镍,所以抗蚀性优于只含铬﹝不含镍﹞的另两类不锈钢阀门。
300系不锈钢阀门主要的用途有:一般用于石油、化工、制药、化肥、电力等行业的各种工况管路上。在一般人的心目中,所谓的不锈钢阀门就是指300系不锈钢阀门等﹝尤其是指304不锈钢阀门﹞。